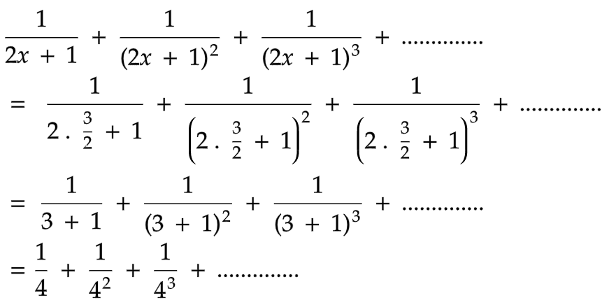
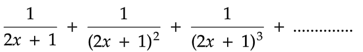
একটি অনন্ত গুণোত্তর ধারা এবং x = 3/2 হলে ধারাটির অষ্টম পদ কত?
একটি অনন্ত গুণোত্তর ধারা এবং x = 3/2 হলে ধারাটির অষ্টম পদ কত?সঠিক উত্তর
1/48
একটি অনন্ত গুণোত্তর ধারা এবং x = 3/2 হলে ধারাটির অষ্টম পদ কত?কোন সংখ্যাটি নিম্নোক্ত ধারায় অন্তর্ভুক্ত নয়? ১-২-৫-১০-১৩-২৬-২৯-৪৮
একটি অনন্ত গুণোত্তর ধারা এবং x = 3/2 হলে ধারাটির অষ্টম পদ কত?
কোন সংখ্যাটি নিম্নোক্ত ধারায় অন্তর্ভুক্ত নয়? ১-২-৫-১০-১৩-২৬-২৯-৪৮
Which of the following pair is similar in relationship to GOGGLES: EYES::?