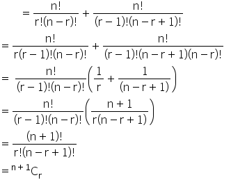
ncr + ncr - 1 = ?
সঠিক উত্তর
n + 1cr
কোন সংখ্যাটি নিম্নোক্ত ধারায় অন্তর্ভুক্ত নয়? ১-২-৫-১০-১৩-২৬-২৯-৪৮

কোন সংখ্যাটি নিম্নোক্ত ধারায় অন্তর্ভুক্ত নয়? ১-২-৫-১০-১৩-২৬-২৯-৪৮
Which of the following pair is similar in relationship to GOGGLES: EYES::?