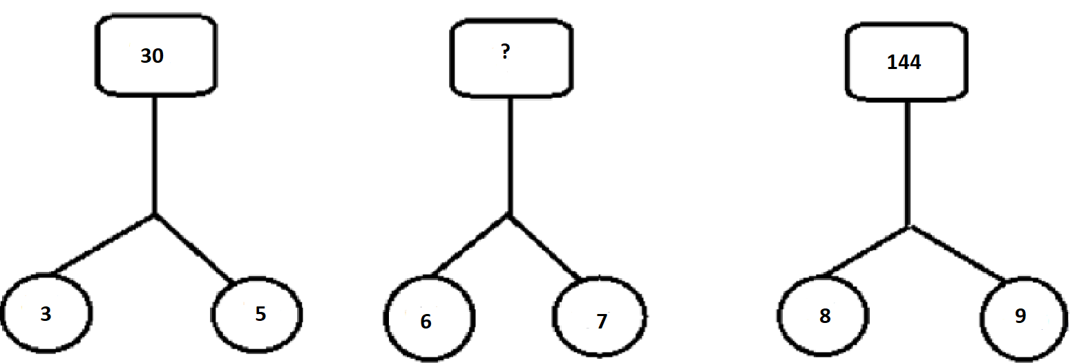
প্রশ্নবোধক স্থানে কোন সংখ্যা বসবে?


সঠিক উত্তর
৮৪

কোন সংখ্যাটি নিম্নোক্ত ধারায় অন্তর্ভুক্ত নয়? ১-২-৫-১০-১৩-২৬-২৯-৪৮

কোন সংখ্যাটি নিম্নোক্ত ধারায় অন্তর্ভুক্ত নয়? ১-২-৫-১০-১৩-২৬-২৯-৪৮
Which of the following pair is similar in relationship to GOGGLES: EYES::?