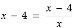
এর সমাধান সেট নিচের কোনটি?
এর সমাধান সেট নিচের কোনটি?সঠিক উত্তর
{1, 4}
এর সমাধান সেট নিচের কোনটি?কোন সংখ্যাটি নিম্নোক্ত ধারায় অন্তর্ভুক্ত নয়? ১-২-৫-১০-১৩-২৬-২৯-৪৮
এর সমাধান সেট নিচের কোনটি?কোন সংখ্যাটি নিম্নোক্ত ধারায় অন্তর্ভুক্ত নয়? ১-২-৫-১০-১৩-২৬-২৯-৪৮
Which of the following pair is similar in relationship to GOGGLES: EYES::?