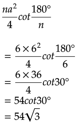
সুষম ষড়ভুজের একটি বাহুর দৈর্ঘ্য ৬ সে.মি. হলে, ষড়ভুজটির ক্ষেত্রফল কত?
সঠিক উত্তর
৫৪√৩ বর্গসে.মি.
কোন সংখ্যাটি নিম্নোক্ত ধারায় অন্তর্ভুক্ত নয়? ১-২-৫-১০-১৩-২৬-২৯-৪৮


কোন সংখ্যাটি নিম্নোক্ত ধারায় অন্তর্ভুক্ত নয়? ১-২-৫-১০-১৩-২৬-২৯-৪৮
Which of the following pair is similar in relationship to GOGGLES: EYES::?